
液化氣流量計
- 品*:JKM/凱銘儀表
- 型號:JKM-LWQ
- 測量范圍:2-6000m3/h
- 精度等級:1.0級、1.5級
- 公稱通徑:DN20-DN300
- 適用介質:天然氣、液化氣
- 工作壓力:1.6MPa
- 工作溫度:-20℃~+80℃
- 供電方式:24VDC 3.6V鋰電池
- 訂貨號:GBD452759DEP
液化氣流量計產品原理
當流體流入流量計時,在進氣口專用一體化整流器的作用下得到整流并加速,由于渦輪葉片與流體流向成一定角度,此時渦輪產生轉動力矩,在克服摩擦力矩和流體阻力矩后,渦輪開始旋轉。在一定的流量范圍內,渦輪旋轉的角速度與流體體積流量成正比。根據電磁感應原理,利用磁敏傳感器從同軸轉動的信號輪上感應出與流體體積流量成正比的脈沖信號,該信號經放大、濾波、整形后與溫度、壓力傳感器信號一起進入智能流量積算儀的微處理單元進行運算處理,并把氣體的體積流量和總量直接顯示于 LCD 屏上。
廣泛適用于天然氣、煤制氣、液化氣、烴氣等氣體的計量。結合現代化的數控加工設備,應用完善有效的工藝手段。生產的流量計結構合理,耐用性好,重復性好,安裝方便簡潔。

液化氣流量計產品特點
1.采用新型微處理器與高性能的集成芯片,運算精度高、整機功能強大、性能優越;
2.采用線性修正技術,*多可以分十段線性修正。可以極大的提供儀表的計算精度;
3.流量計表頭可以 350 度旋轉,方便現場觀看數據;
4.優質鋁合金渦輪,具有更高的穩流和耐腐蝕作用;
5.內置式壓力、溫度傳感器,安全性能高、結構緊湊、外形美觀儀表具有防爆及防護功能;
6.流量范圍寬(Qmax/Qmin≥20:1),重復性好,精度高(可達 1.0 級),壓力損失小,始動流量低,可達 0.6m3/h;
7.重復性好,短期重復性可達到 0.05%R~0.2%R,正是由于具有良好的重復性,在貿易結算中是優先選用的流量計;
液化氣流量計技術參數

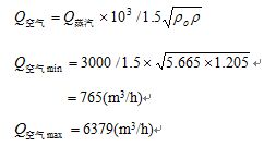
液化氣流量計流量范圍

液化氣流量計產品尺寸


液化氣流量計產品選型

氣體渦輪流量計廣泛適用于天然氣、煤制氣、液化氣、烴氣等氣體的計量。流量計結構合理,耐用性好,重復性好,安裝方便簡潔。
上一篇:JKM-LUGB|丁烷流量計
下一篇:JKM-LUGB|二氧化碳流量計


